預處理工藝對磁控濺射鍍膜織物膜基結合力的影響
發布時間:2019-08-13
產業用紡織品(國際上又稱技術紡織品)是紡織工業中極具潛力和高附加值的產品,如醫用紡織品、過濾用紡織品、土工合成材料、特殊裝飾用紡織品、高性能復合材料和農業用紡織品等,但其實際應用對紡織材料的要求與材料自身的性能并非完全一致。為此,對紡織材料進行改性處理就變得十分必要,尤其是改變紡織材料的表面性能。對紡織材料進行表面改性的方法種類繁多,如等離子表面刻蝕、織物表面涂層等,以賦予織物抗菌、吸濕、導電等特殊功能。近年來,磁控濺射鍍膜技術由于濺射率高、基材溫度低、膜基結合力好、裝置性能穩定、操作控制方便等優點,在紡織材料表面改性方面的應用越來越多,可獲得抗菌、導電、防紫外線、防電磁輻射等性能。隨著磁控濺射應用的不斷增加,人們對磁控濺射鍍膜的質量越來越關注,因其直接關系到鍍膜織物實際應用效果,而紡織材料基材與納米薄膜間的結合力是衡量鍍膜質量的一個重要方面。魏取福等研究了非織造布基基材與所鍍膜層間的結合力。本文以機織滌綸長絲織物作為基材,研究不同前處理工藝對鍍膜織物膜基結合力的影響。
1、實驗部分
1.1 實驗材料、藥品及儀器
實驗材料包括:滌綸長絲織物,6.0tex×5.4tex,427×370根/10cm,平紋組織,將其裁剪成20cm×20cm的方形試樣備用;濺射用鈦靶材,純度99.99%;真空室氬氣,純度為99.999%。
實驗藥品包括:粒狀NaOH,含NaOH≥96.0%;凈洗KOC。
實驗儀器包括:磁控濺射鍍膜機,配有射頻和直流電源;HH-4型數顯恒溫水浴鍋、XMTB數顯溫控儀;YGB401型織物平磨儀;XTS-30體視顯微鏡。另需容量瓶、燒杯、玻璃棒若干。
1.2 試樣預處理
織物在生產過程中會接觸油劑,在運輸、儲存過程中也會不可避免地接觸到雜質、污物,為了提高鍍膜織物的膜基結合牢度,需對織物進行預處理。
(1)堿減量處理。首先配制不同質量濃度NaOH溶液(分別為10、20、30、40g/L),將用清水清洗過的試樣置于NaOH溶液中在85℃水浴中加熱50min,浴比1:30,再用清水反復清洗試樣去除其表面殘余的NaOH溶液。
(2)凈洗KOC處理。配制質量濃度為2g/L的凈洗KOC溶液,將試樣置于其中在常溫下處理30min。而后在清水中清洗去除殘留的凈洗KOC溶液。
(3)普通水洗處理。在清水中洗滌試樣,與另外兩種方法做對比。
1.3 鍍膜織物的制備
在鍍膜機真空室內,濺射用鈦靶材安裝在基材正上方,二者相距60mm。首先將真空室抽至本底真空度為2.0×10-3Pa,再充入氬氣,將氬氣壓強、濺射功率分別調節為0.9Pa、480W后開始鍍膜,濺射時間達180s后完成一個樣品的制備。
1.4 耐磨性測試
鍍膜織物膜基結合力與其表面鈦膜的耐磨性密切相關,鈦膜耐磨性越好,膜基結合就越牢固。通過測試鍍膜織物耐磨性間接反映納米鈦膜與滌綸基材之間的結合力情況。依據GB/T21196-1-2007《紡織品馬丁代爾織物耐磨性的測定馬丁代爾耐磨試驗儀》,采用織物平磨儀測定鍍膜織物耐磨性,磨料為雜種羊毛織制的精梳平紋織物(190根/10cm×120根/10cm,195g/㎡)。實驗時,對所有試樣進行2500次摩擦,考察在相同摩擦條件下鈦膜耐磨性的好壞,進而反映鍍膜織物膜基結合力的大小。
為表征織物表面鈦膜的磨損,利用體視顯微鏡獲得了鍍膜織物摩擦前后圖片。由于穿過織物的光線是自下而上的,鈦膜磨損越嚴重,其透光量就越大,圖片表面對應點的亮度愈大,即亮度越大,鈦膜耐磨性越差。根據相關資料,亮度被定義來反映人類的主觀明亮感覺,指單位投影面積上的發光強度,單位是每平方米堪德拉(cd/㎡)或稱nits。本文利用亮度的高低反映鈦膜耐磨性的好壞。利用光影魔術手軟件采集試樣圖片亮度值。采集時,以左上角第一根完整紗線為起點,向右(或向下)選取n/2(n為偶數)或(n+1)/2(n為奇數)經紗(緯紗)為標準,n為圖片中完整經紗(或緯紗)根數,依次獲取與該紗線有交織的緯紗(經紗)處的亮度值,每個試樣沿經、緯向分別選取7和10個點,每個點取5個數據,計算各點亮度值并求平均,得到試樣經、緯向亮度值。
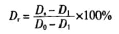
為更好表征鈦膜耐磨性,引入相對亮度的概念,指材料經一定摩擦后亮度的相對變化量,反映材料的相對磨損量,計算公式為:

式中:D,為相對亮度值;Do為材料鍍膜前的亮度值;D。為材料鍍膜后、摩擦前的亮度值;現為材料摩擦后亮度值。
2、結果與討論
2.1 試樣表面形貌
鍍膜前后滌綸織物的表面形貌如圖1所示。

由圖1可以看出,鍍膜前,試樣表面經組織點處光澤不顯著,緯組織點顯白色,有明顯光澤,單層紗部位呈透明狀,如圖1(a)所示;鍍膜后,試樣表面顏色變暗,如圖1(b)所示。這是鈦膜粒子在大氣環境中發生部分氧化的結果;經、緯紗間縫隙未被填充,可以分辨出紗內單絲,說明鈦膜粒子為納米級顆粒。以上均說明采用磁控濺射T藝,可在試樣表面沉積一層致密、均勻的金屬膜。觀察陶1(a)、(b)可以發現,試樣中所有緯組織點的左部光澤明顯,這并非試樣自身差異,而與采用體視顯微鏡獲取圖片時光線的射入角度及織物中長絲的取向有關。
經2500次摩擦后,試樣表面鈦膜出現一定程度磨損,摩擦后試樣形貌如圖2所示。

由圖2可見,經組織點處鈦膜的磨損明顯多于緯組織點,說明經紗摩損大于緯紗,這與經、緯紗性質及織物結構有關。試樣中經、緯紗細度相差不大,但經密明顯大于緯密,造成經紗屈曲波高(h1)大于緯紗屈曲波高(hw),故而試樣表面經組織點比緯組織點更突出。對鍍膜試樣進行平磨時,經組織點與磨料的接觸比緯組織點充分,使得經組織點處鈦膜磨損更嚴重。
2.2 堿減量處理效果
堿減量預處理對試樣相對亮度值的影響如圖3所示。
從圖3可以看出,堿減量預處理之后鍍膜,試樣經、緯紗相對亮度值范圍分別為34.0%~42.9%、6.2%~11.8%,均低于普通水洗試樣的51.7%、21.8%,說明堿減量處理對改善鈦膜耐磨性和提高膜基結合牢度有利。鈦膜耐磨性隨NaOH溶液濃度變化有所不同,且經、緯紗變化趨勢基本一致。由圖3可知,隨NaOH溶液質量濃度提高,試樣相對亮度先緩慢上升,在30g/L后又有所下降,即鈦膜耐磨性先減小、后增加。

根據有關資料,將滌綸放置于熱堿液中,利用堿對酯鍵的水解作用,將滌綸大分子逐步打斷,并逐漸向纖維內部滲透,纖維表面出現坑穴,同時纖維表面腐蝕組織松弛、重量減少,織物彎曲及剪切特性發生明顯變化。對滌綸長絲織物進行堿減量處理使其剛度下降,可在一定程度緩解摩擦作用;酯鍵水解使得纖維表面變得粗糙,在膜基間形成更多機械鎖合,因而提高了膜基結合牢度。
NaOH溶液質量濃度變化對鈦膜耐磨性影響不大,濃度增加對提高鈦膜耐磨性作用有限。此外,堿減量過重,會導致織物強力損失過大。通常減量率增加1%,織物強力就下降2%,減量率大于20%,織物強力損傷明顯加大。若基材力學性質損傷過大,對鈦膜耐磨性有害無益,故溶液質量濃度應偏小掌握,以10g/L為宜。
2.3 凈洗KOC處理效果
采用質量濃度為2g/L的凈洗KOC溶液處理試樣,其相對亮度值變化如表1所示。

由表1可知,普通水洗的經紗相對亮度大于凈洗KOC;普通水洗的緯紗相對亮度略小于凈洗KOC,說明在常溫下采用凈洗KOC溶液處理對改善鈦膜耐磨性作用有限。凈洗KOC溶液對試樣進行洗滌,可去除水洗處理無法除去的一些有機雜質,提高試樣的清潔度,但未對試樣表面結構及內在性質產生影響。當試樣表面清潔度達到一定程度后,對提高鍍膜織物膜基結合牢度作用有限。這也說明水洗處理已將試樣表面多數雜質去除。
3、結論
(1)采用磁控濺射工藝,可在滌綸長絲織物表面沉積一層均勻、致密的金屬膜。
(2)與普通水洗處理相比,堿減量處理可有效提高鍍膜織物膜基結合牢度,凈洗KOC處理作用有限。
(3)試樣經、緯紗鈦膜耐磨性隨NaOH溶液質量濃度提高變化趨勢基本一致。質量濃度為10g/LNaOH溶液處理可顯著提高鈦膜耐磨性,溶液質量濃度增加對提高鈦膜耐磨性作用不大。
聲明:本站部分圖片、文章來源于網絡,版權歸原作者所有,如有侵權,請點擊這里聯系本站刪除。
| 返回列表 | 分享給朋友: |







京公網安備 11010502053715號